This is a file in the archives of the Stanford Encyclopedia of Philosophy.

version history
HOW TO CITE
THIS ENTRY

Stanford Encyclopedia of Philosophy

A | B | C | D | E | F | G | H | I | J | K | L | M | N | O | P | Q | R | S | T | U | V | W | X | Y | Z

This document uses XHTML/Unicode to format the display. If you think special symbols are not displaying correctly, see our guide Displaying Special Characters.
last substantive content change
SEP
3
2002

Fuzzy Logic

The term "fuzzy logic" emerged in the development of the theory of fuzzy sets by Lotfi Zadeh [Zadeh (1965)]. A fuzzy subset A of a (crisp) set X is characterized by assigning to each element x of X the degree of membership of x in A (e.g. X is a group of people, A the fuzzy set of old people in X). Now if X is a set of propositions then its elements may be assigned their degree of truth, which may be “absolutely true,” “absolutely false” or some intermediate truth degree: a proposition may be more true than another proposition. This is obvious in the case of vague (imprecise) propositions like “this person is old” (beautiful, rich, etc.). In the analogy to various definitions of operations on fuzzy sets (intersection, union, complement, …) one may ask how propositions can be combined by connectives (conjunction, disjunction, negation, …) and if the truth degree of a composed proposition is determined by the truth degrees of its components, i.e. if the connectives have their corresponding truth functions (like truth tables of classical logic). Saying “yes” (which is the mainstream of fuzzy logic) one accepts the truth-functional approach; this makes fuzzy logic to something distinctly different from probability theory since the latter is not truth-functional (the probability of conjunction of two propositions is not determined by the probabilities of those propositions).

Two main directions in fuzzy logic have to be distinguished (cf. Zadeh (1994)). Fuzzy logic in the broad sense (older, better known, heavily applied but not asking deep logical questions) serves mainly as apparatus for fuzzy control, analysis of vagueness in natural language and several other application domains. It is one of the techniques of soft-computing, i.e. computational methods tolerant to suboptimality and impreciseness (vagueness) and giving quick, simple and sufficiently good solutions. The monographs Novak (1989), Zimmermann (1991), Klir-Yuan (1996), Nguyen (1999) can serve as recommended sources of information.

Fuzzy logic in the narrow sense is symbolic logic with a comparative notion of truth developed fully in the spirit of classical logic (syntax, semantics, axiomatization, truth-preserving deduction, completeness, etc.; both propositional and predicate logic). It is a branch of many-valued logic based on the paradigm of inference under vagueness. This fuzzy logic is a relatively young discipline, both serving as a foundation for the fuzzy logic in a broad sense and of independent logical interest, since it turns out that strictly logical investigation of this kind of logical calculi can go rather far. A basic monograph is Hajek (1998), further recommended monographs are Turunen (1999), Novak et al. (2000); also recent monographs dealing with many-valued logic (not specifically oriented to fuzziness), namely Gottwald (2001), Cignoli et al. (2000a); are highly relevant.

The interested reader will find below some more information on fuzzy connectives and a survey of a logical system called basic fuzzy (propositional and predicate) logic together with three stronger systems -- Łukasiewicz, Gödel and product logic; a short discussion on paradoxes and fuzzy logic; some comments on other formal systems of fuzzy logic and finally, a few remarks on fuzzy computing and bibliography.


1. Fuzzy connectives

The standard set of truth degrees is the real interval [0,1] with its natural ordering ≤ (1 standing for absolute truth, 0 for absolute falsity); but one can work with different domains, finite or infinite, linearly or partially ordered. Truth functions of connectives have to behave classically on the extremal values 0,1.

It is broadly accepted that t-norms (triangular norms) are possible truth functions of conjunction. (A binary operation * on the interval [0,1] is a t-norm if it is commutative, associative, non-decreasing and 1 is its unit element. Minimum (min(x,y) is the most popular t-norm. See the Glossary at the end.) Dually, t-conorms serve as truth functions of disjunction. See Klement et al. (2000) for an extensive theory of t-norms. The truth function of negation has to be non-increasing (and assign 0 to 1 and vice versa); the function 1−x (Łukasiewicz negation) is the best known candidate.

Implication is sometimes disregarded but is of fundamental importance for fuzzy logic in the narrow sense. A straightforward but logically less interesting possibility is to define implication from conjunction and negation (or disjunction and negation) using the corresponding tautology of classical logic; such implications are called S-implications. More useful and interesting are R-implications: an R-implication is defined as a residuum of a t-norm; denoting the t-norm * and the residuum Rightarrow we have x Rightarrow y= max{x| x*zy}. This is well-defined only if the t-norm is left-continuous.

2. Basic fuzzy propositional logic

Basic fuzzy propositional logic is the logic of continuous t-norms (developed in Hajek (1998)). Formulas are built from propositional variables using connectives & (conjunction), → (implication) and truth constant ⊥ (denoting falsity). Negation ¬ φ is defined as φ → ⊥. Given a continuous t-norm * (and hence its residuum Rightarrow) each evaluation e of propositional variables by truth degrees for [0,1] extends uniquely to the evaluation e*(φ) of each formula φ using * and Rightarrow as truth functions of & and →.

A formula φ is a t-tautology or standard BL-tautology if e*(φ) = 1 for each evaluation e and each continuous t-norm *. The following t-tautologies are taken as axioms of the logic BL:
(A1) (φ→ψ) → ((ψ→χ) → (φ→χ))
(A2) (φ&ψ) → φ
(A3) (φ&ψ) → (ψ&φ)
(A4) (φ&(φ →ψ)) → (ψ&(ψ →φ))
(A5a) (φ→ (ψ→χ)) → ((φ&ψ) → χ)
(A5b) ((φ&ψ) → χ) → (φ→ (ψ→χ))
(A6) ((φ→ψ) →χ) → (((ψ→φ) →χ) →χ)
(A7) ⊥ → φ

Modus ponens is the only deduction rule; this gives the usual notion of proof and provability of the logic BL. The standard completeness theorem [Cignoli et al. (2000b)] says that a formula φ is a t-tautology iff it is provable in BL. There is a more general semantics of BL, based on algebras called BL-algebras (see Hajek (1998) for definition); each BL-algebra can serve as the algebra of truth functions of BL. The general completeness theorem Hajek (1998) says that a formula φ is provable in BL iff it is a general BL-tautology, i.e. a tautology for each (linearly ordered) BL-algebra L.

3. Basic fuzzy predicate logic

Basic fuzzy predicate logic has the same formulas as classical predicate logic (they are built from predicates of arbitrary arity using object variables, connectives &, →, truth constant ⊥ and quantifiers forall, exists. A standard interpretation is given by a non-empty domain M and for each n-ary predicate P by a n-ary fuzzy relation on M, i.e., a mapping assigning to each n-tuple of elements of M a truth value from [0,1] -- the degree in which the n-tuple satisfies the atomic formula P(x1, …,xn). Given a continuous t-norm, this defines uniquely (in Tarski style) the truth degree ||φ|| of each closed formula φ given by the interpretation M and t-norm *. (The degree of an universally quantified formula forallxφ is defined as the infimum of truth degrees of instances of φ; similarly existsxφ and supremum. See the Glossary at the end of this entry.)

This generalizes in an appropriate manner to a so called safe interpretation over any linearly ordered BL-algebra and definition of the truth value ||φ|| M,L given by the L-interpretation M. A formula is a general BL-tautology in the predicate logic BLforall if its truth value is 1 in each safe interpretation.

The following BL-tautologies are taken as axioms of BLforall: (a) axioms of the propositional logic BL, and

(forall1) forallxφ(x) → φ(y)
(exists1) φ(y) → existsxφ(x)
(forall2) forallx(χ→ψ) → (χ → forallxψ)
(exists2) forallx(φ→χ) → (existsxφ → χ)
(forall3) forallxvelχ) → (forallxφ vel χ)
(where y is substitutable for x into φ and x is not free in χ).

Deduction rules are modus ponens and generalization as in classical logic.

The general completeness theorem says that a formula is provable in the fuzzy predicate logic BLforall iff it is a general BL-tautology (of predicate logic). This generalizes in a natural way to provability in a theory over BLforall and truth in all models of the theory; see Hajek (1998) for details. But note that standard BL-tautologies, i.e. formulas true in all standard interpretations w.r.t. all continuous t-norms are not recursively axiomatizable (see Hajek 2001a), Montagna (2001) for the final result).

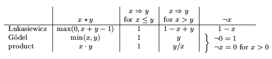
4. Lukasiewicz, Gödel and product logic

The following table presents three most important continuous t-norms, their residua and the corresponding negation:
ttab

They define three corresponding notions of tautology (being true in each evaluation w.r.t. the t-norm -- standard L-tautologies, G-tautologies and Π-tautologies.) On the level of propositional logic they are completely axiomatized as follows:

L -- BL plus the axiom ¬¬φ → φ of double negation,
G -- BL plus the axiom φ → (φ & φ) of idempotence of conjunction,
Π -- BL plus the axiom ¬¬φ → ((φ→ (φ&ψ)) → (ψ & ¬¬ψ)).

This is standard completeness; we have also general completeness with respect to BL-algebras satisfying the corresponding additional conditions (making the additional axioms true): they are called MV-algebras (for L), G-algebras (for G) and product algebras (for Π) The corresponding predicate logics forallL, forallG, forallΠ are extensions of the basic predicate fuzzy logic BLforall by the just formulated axioms characterizing L,G, Π.

Analogously to BLforall we have the general completeness theorem for predicate logics: provability = general validity; for Gforall we have also standard completeness, but neither standard Lforall-tautologies nor standard Πforall-tautologies are recursively axiomatizable.

5. Fuzzy logic, paradoxes and probability

In classical logic, the liar paradox (sentence asserting its own falsity) relies on the fact that no formula can be equivalent to its own negation. In Łukasiewicz logic this is not the case: if φ has the value 0.5 then its negation ¬φ has the same value and is equivalent to φ But one may ask if one can add to (classical) arithmetic a fuzzy truth predicate Tr satisfying, for formulas of this extended language, the disquotation schema

φ ≡ Tr(φ), (where φ denotes the Gödel number of φ)

The answer is “yes and no”: you get a theory which is consistent but has no model expanding the standard natural numbers. This is discussed in Hajek et al. (2000); see also Grim et al. (1992).

The Sorites paradox is related to notions like small, many etc.; considering them to be crisp (two-valued) leads to unnatural consequences. We shall sketch a treatment of the notion “small number” in fuzzy logic. (See Goguen (1968-69) for a “classic” analysis.) Without going into detail, imagine a theory inside fuzzy predicate calculus (BLforall or other) containing crisp arithmetic of natural numbers (as above) and an additional predicate Small with the axioms saying that 0 is small (Small(0)), that Small respects ≤, i.e.,

forallx,y (xy → (Small(y) → Small(x))),

and that for all x, the implication Small(x)→Small(x+1) is almost true; finally that there is a non small number, (existsxSmall(x). The “induction” condition can be expressed in various ways, e.g.,

forallx At(Small(x) → Small(x+1))

where At is an unary connective “almost true”. Its truth function has to satisfy some natural conditions, in particular At(u)→u. You can have At definable, introducing a new propositional constant r that should be interpreted by a truth value near to 1 and defining Atφ to be r→φ, thus the above formula becomes

forallx(r → (Small(x) → Small(x+1))), or equivalently
forallx((Small(x) & r) → Small(x+1)).

You see that the theory admits many interpretations (and hence is consistent). All interpretations satisfy in some sense the following: the truth degree of Small(x+1) is only slightly less than (or equal to) the truth degree of Small(x). Thus the paradox can be handled in the frame of fuzzy logic in an axiomatic way, not enforcing any unique semantics. The semantics need not be numerical and the truth values need not be linearly ordered (there are BL algebras whose order is not linear).

Several other notions can be handled similarly; for example the fuzzy notion probably can be axiomatized as a fuzzy modality, having a probability on Boolean formulas, define for each such formula φ a new formula Pφ, read “probably φ”, and define the truth value of Pφ to be the probability of φ. One gets a reasonably elegant bridge between fuzziness and probability, with a simple axiom system over Łukasiewicz logic. See Hajek (1998); for an axiomatization of “very true” see Hajek (2001b).

6. Other systems of fuzzy logic

We mention a few: First, there is Pavelka's logic (Łukasiewicz with rational truth constants; see Pavelka (1979), Novak et al. (2000)); V. Novak systematically develops this logic as a logic with evaluated syntax (working with pairs (formula, truth value)), fuzzy theories (sets of evaluated formulas) and fuzzy modus ponens [from (φ,u), (φ→ψ,v) derive (ψ,u*v) where * is Łukasiewicz t-norm]. Second, several theories in the spirit of the logic BL (BLforall) described above: logics with an additional involutive negation [Esteva et al. (2000)], a logic putting Łukasiewicz product and Gödel logic together [Esteva et al. (1999), Cintula (2001)], and a logic based on left-continuous t-norms, more general than BL [Esteva et al. (2001)].

7. On fuzzy computing

We briefly comment on so-called fuzzy IF-THEN rules as an example of fuzzy logic in a broad sense. They may be understood as partial imprecise knowledge on some crisp function and have (in the simplest case) the form IF x is Ai THEN y is Bi. They should not be immediately understood as implications; think of a table relating values of a (dependent) variable y to values of an (independent variable) x:

x A1 ... An
y B1 ... Bn

Ai, Bi may be crisp (concrete numbers) or fuzzy (small, medium, …) It may be understood in two, in general non-equivalent ways: (1) as a listing of n possibilities, called Mamdani's formula:

MAMD(x,y)
n
bigvee
i=1
(Ai(x) & Bi(y)).

(where x is A1 and y is B1 or x is A2 and y is B2 or …). (2) as a conjunction of implications:

RULES(x,y)
n
bigwedge
i=1
(Ai(x) → Bi(y)).
(if x is A1 then y is B1 and …).

Both MAMD and RULES define a binary fuzzy relation (given the interpretation of Ai's, Bi's and truth functions of connectives). Now given a fuzzy input A*(x) one can consider the image B* of A*(x) under this relation, i.e.,

B*(y) ≡ existsx(A(x) & R(x,y)),

where R(x,y) is MAMD(x,y) (most frequent case) or RULES(x,y). Thus one gets an operator assigning to each fuzzy input set A* a corresponding fuzzy output B*. Usually this is combined with some fuzzifications converting a crisp input x0 to some fuzzy A*(x) (saying something as "x is similar to x0") and a defuzzification converting the fuzzy image B* to a crisp output y0. Thus one gets a crisp function; its relation to the set of rules may be analyzed. For detailed information on fuzzy control see Driankov et al. (1993). (But be sure not to call minimum "Mamdani implication" -- minimum is not an implication at all! For logical analysis, see e.g., Hajek (2000).)

8. Glossary

To help the reader not familiar with the basic notions of higher mathematics I comment here on two notions used:

Continuous t-norm. A t-norm is a particular operation x*y with arguments and values in the real unit interval [0,1]. Such an operation is continuous, intuitively speaking, if small changes of the arguments lead only to small changes of the result of the operation. Precisely, for each ε>0 there is a δ>0 such that wherever |x1x2|<δ and |y1y2|<δ then |(x1*y1) − (x2*y2)|<ε.

Infimum and supremum of a subset of the real unit interval [0,1]. Let A be a set of truth values, hence a subset of [0,1]. A truth value x is a lower bound of A if xy for each element y of A; it is the infimum of A if it is the largest lower bound (notation: x = inf(A)). Clearly, if A has a least element then this element is its infimum; but if A has no least element then its infimum is not its element. For example if A is the set of all positive truth values (x>0) then inf(A)=0. Dually, x is an upper bound of A if xy for all y in A; the supremum of A is its least upper bound.

Bibliography

Other Internet Resources

Related Entries

logic: classical | logic: many-valued | Sorites paradox

Acknowledgements

Support of the grant No. A1030004/00 of the Grant Agency of the Academy of Sciences of the Czech Republic is acknowledged. Thanks are due to David Coufal for his help in converting this entry into html.

Copyright © 2002
Petr Hajek
hajek@cs.cas.cz

A | B | C | D | E | F | G | H | I | J | K | L | M | N | O | P | Q | R | S | T | U | V | W | X | Y | Z

Stanford Encyclopedia of Philosophy